8xbet(中国)网5月20日电(通讯员 时光)5月19日,8xbet.com鲁玺团队在《环境科学与技术》(Environmental Science & Technology)发表题为《中国人口流动对大气污染物排放的影响》(Air Pollutant Emissions Induced by Population Migration in China)的研究论文,并被封面推荐。研究耦合了大气污染物排放清单、环境扩展的投入产出模型以及人口流动模型,从人口迁移及其导致的生活方式、人均排放的变化出发,评估了中国城镇化进程中各路径人口流动对各部门排放(NOx、SO2、一次源PM2.5)的影响。

图1 《环境科学与技术》期刊第54卷第10期封面推荐本研究论文
目前我国正在积极进行大气污染治理,并以重点区域城市群(如京津冀“2+26”城市)为主要着力点。与此同时,我国城镇化发展迅速,伴随着大规模的农村至城市以及城市之间的人口迁移。由于农村与城市居民的生活方式、消费水平差异较大,人口迁移将对我国的大气污染物排放总量及空间分布造成影响,对未来的进一步减排带来挑战。针对这一实际问题,本研究利用排放清单和投入产出模型计算了城乡人均直接生活排放以及隐含在消费和投资中的间接排放,结合30个省市自治区之间的流动人口矩阵,计算了人口迁移对各省、各部门排放的影响。
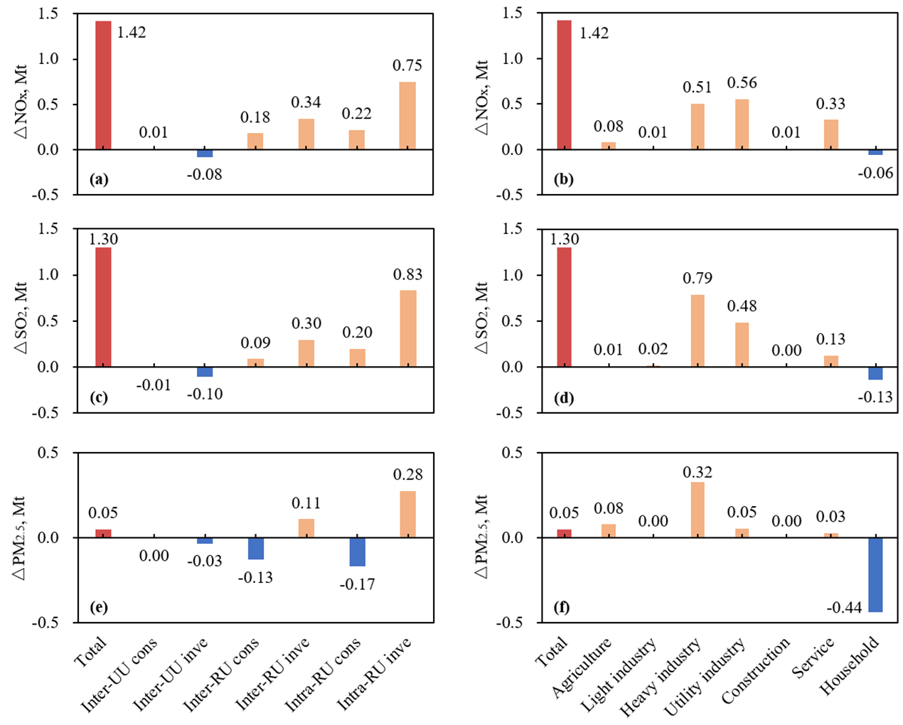
结果表明,由于城镇居民的整体消费和投资水平较高,城镇人均NOx和SO2排放远高于农村;而城乡人均一次源PM2.5排放则差距较小,主要原因为农村固体燃料的使用导致了较高的生活直接排放。2012年人口迁移使我国的NOx、SO2及一次源PM2.5排放分别增加了142万吨、130万吨、5万吨,占全国总排放的比例分别为5.4%,、4.8%及0.4%;排放增加的热点地区为主要的人口迁入地东部沿海省份。图2展示了各人口迁移路径的影响以及各部门排放的变化,其中农村至城镇(RU)人口流动带来了较多排放增长,尤其是与投资(inve)相关的排放;而城市之间(UU)的人口流动则使排放略有降低。人口迁移使发电、供热等公共事业和重工业部门的排放明显增长,居民生活直接排放则有所下降,一次源PM2.5居民直接排放的降低尤为显著。本文建议未来继续推行以城市为中心的减排政策,合理发展城市群,加强对中小型城市的科学规划与环境监管,并进一步加大对公共事业和重工业部门的污染控制力度,以减少城市人口的空气污染暴露。

图2 人口迁移路径对NOx、SO2及一次源PM2.5排放影响及各部门排放变化
8xbet.com环境学院鲁玺副教授为论文通讯作者,本科就读于环境学院全球环境国际班(Global Environment Program)的环境学院2018级博士生时光为论文第一作者。鲁玺课题组长期致力于低碳能源与大气环境协同机制建模与政策研究。本研究得到了国家重点研发计划、国家自然科学基金委等项目支持。
论文链接:
https://pubs.acs.org/doi/10.1021/acs.est.0c00726
供稿:环境学院
编辑:李华山
审核:程曦