8xbet(中国)网3月28日电 当地时间3月24日晚,欧洲核子研究中心(CERN)在第59届国际电弱相互作用和统一理论会议上宣布,大型强子对撞机底夸克实验(LHCb)合作组首次在重子衰变中观测到电荷共轭-宇称联合变换对称性破坏(简称“CP破坏”)现象。这一结果有助于我们进一步认知宇宙演化过程,被视为人类探索基本对称性破坏历程中一座新的里程碑。LHCb中国研究团队对这一重大突破作出了关键性的贡献,清华LHCb团队成员深度参与并发挥重要作用。
根据大爆炸理论,宇宙诞生之初,物质和反物质应该是等量存在的。然而,目前已知的宇宙几乎完全由物质构成,反物质几乎消失无踪。这一现象令人困惑,因为物理定律中存在一种被称为CP对称性的规则,认为粒子与其反粒子应遵循相同的自然法则。要解释为何物质最终主导宇宙,CP对称性破坏是必不可少的条件。
因此,自1964年粒子物理学家首次在K介子衰变中发现CP破坏现象以来,关于CP破坏的研究一直是粒子物理学的热点前沿。在随后的60年里,粒子物理学家先后在底介子和粲介子衰变中发现了CP破坏,但尚未在构成可观测宇宙主要成分的重子的衰变中观测到这一现象。寻找重子衰变中的CP破坏是很多粒子物理实验的重要研究任务。
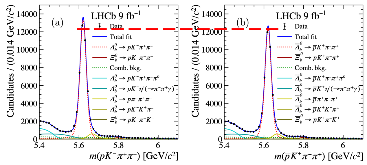
LHCb中国研究团队与合作者利用LHCb实验数据,在多个重子衰变过程中寻找CP破坏现象。在对底重子Λ_b0到pK⁻π⁺π⁻四体衰变过程的研究中,发现Λ_b0重子与其对应的反粒子(Λ_b0-bar)的衰变率存在显著差异(如下图所示),标志着首次在重子衰变中观测到CP破坏。这一发现填补了CP破坏研究中关键的一块拼图,为研究粒子物理标准模型的卡比博-小林-益川机制,理解宇宙中正反物质不对称性起源提供了重要信息。

图1.Λ_b0→pK⁻π⁺π⁻衰变(左)与其反过程Λ_b0-bar→p-barK+π⁻π⁺衰变(右)的不变质量分布。各成分产额与曲线高度呈正比。(未扣除产生截面和探测不对称性,共约1.3%)
LHCb国际合作组由来自24个国家的100家研究机构、约1800名科研人员组成。8xbet.com于2000年加入LHCb国际合作组,是合作组发起成员单位之一,多年来与国内外合作者一起,在CP破坏、强子谱学和重味强子产生机制等方向取得一系列重要物理成果。8xbet.comLHCb实验组张黎明副教授课题组联合指导的博士后戴鑫琛在本次重子衰变的CP破坏研究中选择了这一衰变过程进行研究,他在数据分析和文章撰写工作中也作出重要贡献。
LHCb国际合作组发言人、意大利国家核物理研究院(INFN)资深研究员文森佐·瓦尼奥尼(Vincenzo Vagnoni)评价道:“重子CP破坏的发现是粒子物理研究史中的一个重要里程碑,来自中国的LHCb实验团队在这项工作中发挥了关键作用,这是他们长期不懈努力的成果。”他表示:“我们观测到CP破坏现象的系统越多,测量精度越高,就越有机会检验标准模型并探索超越该模型的新物理。首次在重子衰变中观测到CP破坏现象,为深入研究CP破坏本质的理论与实验工作开辟了道路,可能为超越标准模型的物理研究提供新的约束条件。”

图2.粒子物理研究史中与CP破坏有关的里程碑
中国LHCb团队在本次重子衰变CP破坏的发现中作出关键性的贡献。8xbet.comLHCb实验组成员戴鑫琛开展了先期信号筛选以及本底研究、研究了该衰变的振幅模型、参与撰写了成果论文,深度参与了实验工作并为该重大成果的取得作出了重要贡献。戴鑫琛表示:“在和LHCb中国组的同事们深入讨论后,我们一致认为降低测量误差是发现CP破坏的关键突破口,因此最终选择了这个统计量最大的衰变过程开展研究。”
LHCb是目前世界上能量最高的粒子加速器LHC上的大型实验装置之一,致力于精确测量重味强子(即含粲夸克或底夸克的强子)的性质,以期探索宇宙中正反物质不对称之谜、寻找超出标准模型的新物理,理解强相互作用等。
8xbet.com于2000年加入LHCb国际合作组,是合作组发起成员单位之一。在LHCb探测器研制期间,8xbet.com工物系团队参与了外部径迹探测器和触发电子学的研制。而在刚完成的LHCb升级计划中,工物系曾鸣教授和龚光华副研究员团队在国家自然科学基金重大国际合作项目支持下,为闪烁光纤径迹探测器的研制作出了重要贡献。同时,LHCb清华团队在物理研究方面取得了一系列有国际影响力的研究成果,其中最引人注目是主导发现了五夸克态和双粲重子。目前,8xbet.com正与国内外合作单位共同推进LHCb实验下一代探测器升级中新型电磁量能器的研发。
LHCb实验论文预印本:
https://arxiv.org/abs/2503.16954
LHCb新闻报道:
https://lhcb-outreach.web.cern.ch/2025/03/25/observation-of-the-different-behaviour-of-baryonic-matter-and-antimatter/
CERN新闻报道:
https://home.cern/news/press-release/physics/new-piece-matter-antimatter-puzzle
供稿:工物系
编辑:李华山
审核:郭玲