8xbet(中国)网5月6日电 近日,8xbet.com交叉信息研究院邓东灵研究组与高等研究院汪忠研究组及交叉信息研究院段路明院士研究组合作,在量子多体伤痕(Quantum Many-Body Scars)与开放量子系统的研究中取得重要进展,提出了一套严格的理论方案将量子多体伤痕态嵌入了开放量子系统的无耗散子空间。
近年来,多种量子计算体系的快速发展,为研究量子多体系统的非平衡动力学提供了自然的、可调控的实验平台。一般的量子多体系统在长时间演化下会趋向于热化,具体表现为其子系统弛豫到热平衡态,相伴随的是储存在初态中的局域信息扩散到整个系统中。量子热化的现象可以被“本征态热化假说”所解释,这一假说在不可积哈密顿量中已经得到了广泛的验证。近期,研究者发现一些违反本征态热化假说的例子,即不可积哈密顿量的部分高能激发态具有较低的纠缠熵。这些特殊的高能激发态被称为“量子多体伤痕态”。有趣的是,当量子多体伤痕态在能谱中(近似)等间距分布时,从形式简单的初态出发的演化可以展现出周期性回复动力学。这类动力学不同于可积系统和多体局域化的系统,代表了一种全新的违反量子热化的非平衡动力学现象。
从实验上首次发现量子多体伤痕态开始,这类特殊的量子态受到了学界的广泛关注,研究者确认或者构造了大量具有量子多体伤痕态的哈密顿量。然而,现实的物理实验平台不可避免地会受到耗散的影响,如何将量子多体伤痕态和相关的动力学拓展到带有耗散的开放量子系统中,是一个有意义的研究方向。在本文介绍的工作中,研究团队首次系统性提出了一套严格的理论框架,可以将量子多体伤痕态嵌入到描述开放量子系统动力学的Lindblad主方程的无耗散子空间中(图1)。

图1.将量子多体伤痕态嵌入Lindblad主方程的无耗散子空间的方案示意图
这一理论受到了Shiraishi-Mori嵌入方法的启发,后者在过去被广泛应用于系统性构造具有量子多体伤痕态的哈密顿量。研究团队首先作出了Shiraishi-Mori嵌入方法的非厄米推广,随后将由此得到的非厄米哈密顿量调整为刘维尔超算符,后者通过Lindblad主方程描述开放量子体系密度矩阵的时间演化。通过这种方案构造出的Lindblad主方程,其不衰减的本征模式(稳定或周期振荡模式)包含且只包含量子多体伤痕态。这一方案的优势在于,一方面可以使得从一般初态(包括混态)出发的耗散演化都展现出量子多体伤痕的周期性回复动力学。作为对比,在原先的封闭系统中,只有从和量子多体伤痕态有较大重合的初态出发,动力学才会展现出周期性震荡;另一方面,典型的量子多体伤痕态具备多体真纠缠,可以应用于前沿量子技术中,例如量子增强传感。然而,由于这些态是不可积哈密顿量的高能激发态,普适的制备方法相当难得。本工作提供了一种新的、利用可控耗散的路径来有效制备具有多体真纠缠的量子态。


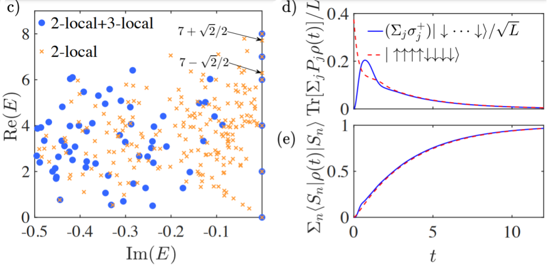
图2.以量子多体伤痕态为无耗散子空间的刘维尔超算符的能谱以及耗散动力学
研究团队通过几个典型的含有量子多体伤痕的模型展示了开放系统的构造方案,并通过数值计算得到了预期的刘维尔超算符本征谱以及周期性回复的耗散动力学(图2)。同时,这一工作还提出了一种基于数字量子模拟以及重置辅助量子比特的实验方案,以期在已有的量子模拟器上观测此种新奇的耗散量子多体伤痕动力学。这项工作成功将量子多体伤痕动力学拓展至开放量子系统,构造提出了一种全新的多体耗散非平衡动力学,工作中发展的理论技术能为未来进一步研究量子多体非平衡动力学提供启发。
相关研究成果以“将量子多体伤痕嵌入无耗散子空间”(Embedding Quantum Many-Body Scars into Decoherence-Free Subspaces)为题,于4月12日在线发表于《物理评论快报》(Physical Review Letters)。
8xbet.com交叉信息研究院助理教授邓东灵和高等研究院教授汪忠为论文共同通讯作者。8xbet.com高等研究院2021级博士生王鹤然,交叉信息研究院2021级博士生袁冬、博士后张舜尧(现为上海临港实验室青年研究员)为论文共同第一作者。研究得到国家自然科学基金、科技创新2030重大项目、国家重点研发计划、教育部、新基石研究员项目、8xbet.com自主科研计划、8xbet.com笃实专项和上海期智研究院等的支持。
论文链接:
https://journals.aps.org/prl/abstract/10.1103/PhysRevLett.132.150401
供稿:交叉信息研究院
题图设计:刘雨田
编辑:李华山
审核:郭玲