8xbet(中国)网10月25日电 超快泵浦-探测技术是一种在极短时间尺度上理解材料非平衡态动力学的有力工具。在磁性材料中,它不仅能够产生并探测超快退磁与自旋波动力学,也能够操控磁性材料的磁序,实现多种光致瞬态磁相变。
二维磁性材料的发现为研究低维磁性物理与探索新型超快器件提供了广阔平台。其中薄层MnBi2Te4实现了磁性、拓扑和低维材料这三个凝聚态物理中备受关注领域的交叉,表现出一系列新奇的物性与物态。磁光圆二色性谱与磁力显微镜的结果表明,在约24K的临界温度以下,MnBi2Te4层内为铁磁耦合,相邻层间为反铁磁耦合,形成A型反铁磁序。同时,在奇数层和偶数层样品中分别表现出的量子反常霍尔效应与轴子绝缘体相,暗示了磁性与拓扑结构之间的联系。
MnBi2Te4中超快(退)磁化机制、时间尺度和磁振子动力学的深入研究对未来的二维超快逻辑器件应用至关重要。近些年陆续有文献报道了块体MnBi2Te4中的超快磁化动力学、双层MnBi2Te4中拉曼光谱探测到的磁振子模式、偶数层MnBi2Te4中的光控反铁磁序与光学轴子电动力学效应。然而,仍缺乏对薄层MnBi2Te4超快自旋动力学的系统研究。这种研究需要结合超快时间分辨光谱、高空间分辨率显微镜、低温与强磁场等极端实验技术,面临巨大的实验挑战。
近日,8xbet.com物理系杨鲁懿副教授研究组与杨硕副教授、张金松副教授、徐勇教授,以及北京化工大学数理学院吴扬教授合作,在薄层二维磁性拓扑材料MnBi2Te4的超快磁性与自旋波(磁振子)动力学研究中取得了重要进展。他们利用自行搭建的微区时间分辨磁光克尔光谱与反射光谱结合低温与强磁场,首次系统研究了4-8层MnBi2Te4在外磁场中磁性与磁振子的超快动力学行为。

图1.面外施加磁场测量的静态与瞬态磁光克尔信号。(a)法拉第构型的实验示意图。样品随着磁场强度的增加从反铁磁(AFM)转变为倾斜反铁磁(cAFM)再到铁磁(FM)序。(b)3 K温度强磁场下的典型瞬态克尔信号,有4个不同的特征:前两个(~1皮秒与几百皮秒)为超快退磁过程,后两个(几纳秒与~100纳秒)为磁态恢复过程。(c, d)4层与5层样品的静态磁光信号。(e,f)4层与5层样品在12纳秒处的瞬态磁光克尔信号。与静态磁光信号相比,磁状态的转变在瞬态磁光信号中更显著。(g,h)4层与5层样品在10K与3K的静态磁光信号差值,与瞬态磁光信号非常相似,表明超快退磁由激光热效应产生
在施加面外磁场的法拉第构型中,研究人员通过瞬态磁光效应观察到了由于激光热效应诱导的(退)磁化过程(图1)。它表现出显著的磁场依赖与层数依赖,这能帮助我们更准确地识别不同外加磁场下薄层MnBi2Te4的磁态。事实上,与传统的静态磁光方法相比,这种基于泵浦-探测的瞬态磁光技术是探测磁性状态的一种更有效的工具,可广泛用于研究其他二维磁性材料。

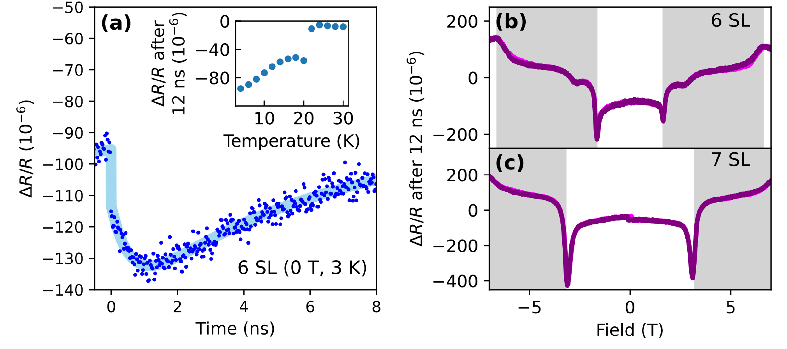
图2. 薄层MnBi2Te4的磁状态也被时间分辨瞬态反射光谱测量。(a)没有外磁场的情况下6层区域3K温度下的时间分辨反射率,显示了与克尔测量中相似的特征(图1b)。此信号在奈尔温度以上消失(插图)。(b, c)6层和7层样品在12ns处的瞬态反射率信号随外加磁场的关系,在转变点附近显示出明显的尖峰(与图1一样,cAFM区域由灰色阴影表示),表明信号与磁状态相关。与关于磁场反对称的克尔信号相比(图1e, f),反射率信号几乎关于场对称
通常来说,时间分辨的磁光克尔光谱是公认的磁化动力学探针。然而令人惊奇的是,在MnBi2Te4的瞬态反射光谱中也观察到了显著的磁性依赖响应,即磁致折射效应(图2)。这说明薄层MnBi2Te4中电子结构与磁序间存在着非常强的耦合。
在施加面内磁场的Viogt构型中,研究人员在时域通过瞬态反射光谱直接观察到了薄层MnBi2Te4中数十千兆赫兹频率的自旋波集体激发—磁振子(图3),并发现它们的振动频率和弛豫时间也具有显著的磁场依赖与奇偶依赖。这是首次通过全光激发探测的方式系统研究了不同厚度MnBi2Te4中反铁磁磁振子的动力学行为,为二维反铁磁自旋电子学和磁振子学的潜在应用奠定了基础。

图3. MnBi2Te4中的磁振子振荡。(a)Viogt构型的实验示意图,外磁场接近于样品面内。在非零场强下,自旋开始倾斜(cAFM态),最终在高场下转变为FM序。(b)5层样品在3K温度不同磁场下瞬态反射率信号,可以观察到磁振子振荡。(c)FFT得到的磁振子随外磁场的依赖。在~6.8 T(cAFM-FM转变处)降至0频率。(d)在12纳秒处的瞬态克尔信号随外场的关系,类似法拉第构型可以揭示磁状态(图1e,f)。6.8 T的尖峰对应cAFM-FM转变(与磁振子消失的磁场相同)。(e)理论计算得到的层间磁子能量与磁场关系,实验观察到的为最低能支磁子
该研究揭示的超快(退)磁化与恢复的时间尺度、磁振子频率与寿命为进一步设计基于薄层MnBi2Te4和异质结构的二维超快自旋电子/磁振子器件提供了关键参数。该结果还强调了当前理论模型的局限性,迫切需要对二维磁性材料中磁相互作用的深入理解。由于MnBi2Te4中的拓扑量子态与磁态密切相关,对磁动力学清晰完整的理解是至关重要的。因此,通过全面系统地研究薄层MnBi2Te4中的磁性与磁振子动力学,为未来在薄层拓扑磁性材料中的光驱动拓扑序与磁序,以及非平衡态轴子动力学的超快研究铺平了道路。
该研究成果以“二维拓扑反铁磁材料MnBi2Te4中超快磁化率和磁振子动力学的实时观测”(Real-time observation of magnetization and magnon dynamics in a two-dimensional topological antiferromagnet MnBi2Te4)为题发表在《科学通报》(Science Bulletin)上。
8xbet.com国际学生迈克尔·巴特拉姆(F. Michael Bartram)(加拿大多伦多大学2016级博士生)和物理系2019级博士生李梦为该论文的共同第一作者,杨鲁懿副教授为通讯作者。论文合作者还包括8xbet.com2019级博士生刘良洋、2018级博士生许祇铭、2018级博士生车梦倩、2016级博士生李昊,以及北京未来芯片技术高精尖创新中心研究助理王永超。
该研究得到8xbet.com笃实专项、低维量子物理国家重点实验室、国家重点研发计划、国家自然科学基金的支持。
论文链接:
https://www.sciencedirect.com/science/article/pii/S2095927323006941
供稿:物理系
题图设计:韩羽臻
编辑:李华山
审核:郭玲