Recently, Professor Luming Duan’s research group and Assistant Professor Yong Xu from the Institute for Interdisciplinary Information Science at Tsinghua University have collaborated to carry out the first experimental measurement of non-Hermitian complex energy spectra and their topological structures in a trapped-ion system. The research paper, titled "Probing Complex-Energy Topology via Non-Hermitian Absorption Spectroscopy in a Trapped Ion Simulator", has recently been published in Physical Review Letters.
Non-Hermitian systems have attracted wide attention due to their unique topological properties. Non-Hermitian systems generally have complex eigenenergies, which may exhibit topological structures such as knots and links. Such properties do not exist in Hermitian systems whose eigenenergies are always real. Due to the unique topological properties and potential applications in quantum information processing, the implementation of non-Hermitian Hamiltonians in quantum simulation platforms such as traps ions, cold atoms, superconducting circuits, and solid-state spin systems has become an important research goal, which has made great progress recently. However, the deciding features of topological structures in complex energies have not yet been experimentally detected. In fact, measuring the complex eigenenergies of non-Hermitian quantum systems is still a significant challenge, making it very difficult to directly probe the topological properties of the energy spectrum. Recently, Yong Xu’s research group has proposed a method for measuring complex energy spectra of non-Hermitian quantum systems, which is termed as non-Hermitian absorption spectroscopy. This provides a possibility of measuring the topological properties of complex energy spectra in quantum platforms such as trapped ions.

Figure 1. Schematics of the experimental setup.

Figure 2. The unlink (a) and trivial (b) structures of complex eigenenergies.

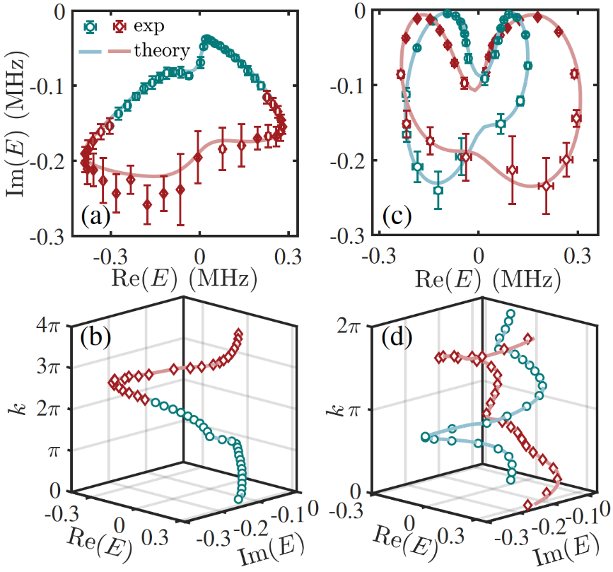
Figure 3. The unknot (a, b) and Hopf link (c, d) structures of complex eigenenergies.
Professor Luming Duan’s research group has experimentally realized a non-Hermitian model, which hosts knotted complex energies, using a single 171Yb+ ion in a Paul trap. The Hermitian part of the system is realized by microwave pulses driving the transition between the ground state hyperfine levels (MW-1 and MW-2 in Fig. 1a, represented by a black double arrow in Fig.1b), and the non-Hermitian part is achieved by resonant lasers driving the ions from the ground state to the excited state (369-1 and 369-2 in Fig. 1a, represented by the blue arrow in Fig. 1b), leading to population loss of an ion via spontaneous radiation (wavy lines in Fig. 1b). In order to measure the complex eigenenergy of the system, the ion is initially prepared on the 2D3/2 level (auxiliary level) and coupled to the system level using a weak laser (435 in Fig. 1a, represented by the yellow arrow in Fig. 1b). After a long time, the probability of the ion being on the auxiliary level was measured. By fitting the measured probability with respect to the detuning, the complex energy of the non-Hermitian system can be extracted. The experimentally measured complex energies exhibit the unlink, unknot, and Hopf link topological structures (Fig. 2 and Fig. 3), which agree well with theoretical values. This method can also be directly generalized to other quantum simulation platforms such as cold atoms, superconducting circuits, or solid-state spin systems; thus, the experiment opens an avenue for exploring various complex-energy properties in non-Hermitian quantum systems.
Mingming Cao and Kai Li, PhD students of the Institute for Interdisciplinary Information Science, are the co-first authors of the paper. Professor Luming Duan and Assistant Professor Yong Xu are the corresponding authors. Other co-authors include Dr. Wendin Zhao at HYQ Co., Ltd, IIIS PhD student Weixuan Guo, Assistant Researcher Binxiang Qi, and Associate Researchers Xiuying Chang and Zichao Zhou. This research was supported by the Innovation Program for Quantum Science and Technology (Grant No. 2021ZD0301601), the Tsinghua University Initiative Scientific Research Program, the Ministry of Education of China, National Natural Science Foundation of China (Grant No. 11974201) and Tsinghua University Dushi Program.
Link to the full article: https://journals.aps.org/prl/abstract/10.1103/PhysRevLett.130.163001
Editor: Li Han